인터넷이란?
TCP/IP 기반의 네트워크가 전세계적으로 확대되어 하나로 연결된 네트워크들의 네트워크(네트워크의 결합체)
수많은 클라이언트 컴퓨터와 서버 컴퓨터, 그리고 이들로 구성된 네트워크들의 집합체
특징
1. 인터넷은 서로 동시에 참여할 수 있는 쌍방향 통신을 제공합니다.
2. 컴퓨터는 저장이 가능하므로 메시지를 보내는 사람과 받는 사람 모두 시간에 제약을 받지 않고 컴퓨터가 네트워크에 연결만 되어 있다면 언제든지 메시지를 주고 받을 수 있습니다.
3. 초기 인터넷에서는 텍스트로만 통신이 가능했지만 현재에는 이미지, 음성, 동영상 등 다양한 포맷으로 통신이 가능합니다.
| 이름 | 프로토콜 | 포트 | 기능 |
| WWW | HTTP | 80 | 웹서비스 |
| SMTP/POP3/IMAP | 25/110/114 | 이메일 서비스 | |
| FTP | FTP | 21 | 파일 전송 서비스 |
| DNS | TCP/UDP | 53 | 네임 서비스 |
| NEWS | NNTP | 119 | 인터넷 뉴스 서비스 |
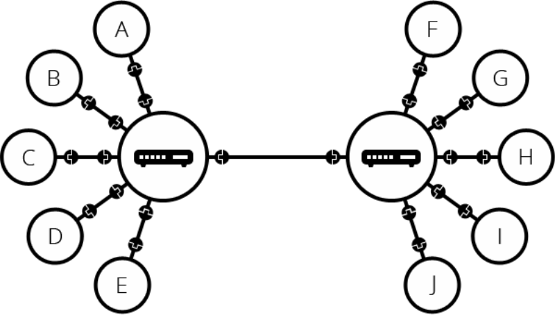
동작 과정

1. 가장 심플한 방법은 유선 무선으로 연결되어 있으면 된다.
하지만 이런 방식은 여러대의 컴퓨터 네트워크를 구성하기에는 제한이 많음으로 라우터를 사용한다.

2. 라우터는 특수한 소형 컴퓨터로 데이터를 원하는 컴퓨터에게 잘 전달해주는 역할을 한다. 하지만 물리적으로 거리가 먼 곳에는 케이블 연결이 힘들어 모뎀을 사용한다.

3. 모뎀은 네트워크에서 교환하는 데이터를 전화와 같은 시설에서 처리할 수 있는 정보로 바꾸어지는 역항르 하면서 이미 구성된 케이블을 사용해 멀리 있는 네트워크를 연결해 더욱 네트워크를 확장한다.

4. 마지막으로 ISP를 통해 데이터를 네트워크와 네트워크 중간에서 전달해주는 역할을 한다. 우리가 일반적으로 알고 있는 LG U+, KT, SKT가 있다.
웹이란?
월드 와이드 웹(World Wide Web)이란 인터넷에 연결된 사용자들이 서로의 정보를 공유할 수 있는 공간을 의미한다.
인터넷과의 차이
인터넷은 컴퓨터가 서로 연결되어 통신을 주고받는 컴퓨터끼리의 네트워크를 일컫는 말이고, 웹은 그 인터넷상에 정보가 얽혀있는 무형의 정보 네트워크를 말한다. 인터넷에선 웹뿐 아니라 전자 메일과 같이 다른 서비스가 쓰이기도 하고, 웹은 그런 서비스 중 하나다.
웹 동작 과정

1. 사용자가 웹 브라우저를 통해서 URL주소를 입력한다.
2. 입력한 URL을 HTTP 프로토콜로 변환해 DNS에 업로드한다.
3. 업로드한 URL 중 도메인에 해당하는 부분을 뽑아 IP 주소로 변환해 URL과 함께 출력한다.
4. URL과 함께 받은 IP 주소는 HTTP 프로토콜을 이용해 HTTP 요청 메세지를 만들어 TCP 프로토콜을 통해 해당 IP주소의 컴퓨터에 전달한다.
5. HTTP 요청 메세지를 받은 HTTP 프로토콜이, 이를 이용해 URL 주소를 웹 서버에 전달한다.
6. 웹 서버에서 URL과 일치하는 데이터를 출력한다.
7. 받은 HTTP 메세지를 TCP 프로토콜을 통해 원래 컴퓨터로 전송하고 도착한 HTTP 메세지를 HTTP 프로토콜을 이용해 웹페이지 데이터로 변환한다.
DNS란?
IP 네트워크에서 사용하는 시스템이다. 우리가 인터넷을 편리하게 쓰게 해주는 것으로, 영문/한글 주소를 IP 네트워크에서 찾아갈 수 있는 IP로 변환해 준다. DNS는 도메인 이름과 IP 주소를 서로 변환하는 역할을 한다
구성요소

도메인 네임 스페이스 (Domain Name Space)
최상위에 루트 DNS 서버가 존재하고 , 그 하위로 인터넷에 연결된 모든 노드가 연속해서 이어진 계층구조로 구성
네임 서버 (Name Server)
주소를 변환 시키기 위해 도메인 네임 스페이스의 트리구조에 대한 정보가 필요. 이 정보를 가진 서버 도메인 이름을 IP주소로 변환하는 것을 네임 서비스
리졸버 (Resolver)
DNS클라이언트의 요청을 네임 서버로 전달하고 네임 서버로부터 도메인이름과 IP 주소를 받아 클라이언트에게 제공하는 기능을 수행
동작과정

1. web browser에서 도메인을 입력하면 해당 웹사이트의 IP 주소를 알고 있는 지 local DNS 서버에 전달한다.
2. local DNS는 root DNS 서버에 웹사이트 IP 주소를 알고 있는 지 물어본다.
3. root DNS가 모르는 경우 com DNS의 이름과 IP 주소를 알려주며 다시 쿼리를 보낼 수 있는 곳을 알려준다.
4. local DNS는 com DNS 서버에 웹사이트 IP 주소를 알고 있는 지 물어본다.
5. com DNS가 모르는 경우, com도메인을 관리하는 DNS의 이름과 IP 주소를 알려주며 다시 쿼리를 보낼 수 있는 곳을 알려준다.
6. local DNS는 네이버.com DNS 서버에 웹사이트 IP 주소를 알고 있는 지 물어본다.
7. 네이버.com DNS는 다시 g.naver.com 의 DNS 이름과 IP 주소를 받는다.
8. local에서 다시 g.naver.com DNS 에 질의
9. www. g.naver .com에서 드디어 IP주소를 응답
10. local에서 web browser로 IP 주소를 응답.
출처
DNS (Domain Name System) 개념 및 동작 원리
이번 시간에는 DNS (Domain Name System)에 대한 개념 , 사용하는 이유 , 구성 요소 , 동작 원리에 대해서 알아보도록 하겠습니다. 1. DNS 란? 우리는 인터넷을 이용하여 검색이나 웹 서핑 , 이메일 등을 사
ja-gamma.tistory.com
웹 서버란?
웹 서버는 소프트웨어(Software)를 보통 말하지만, 웹 서버 소프트웨어가 동작하는 컴퓨터를 말합니다.
웹 서버의 가장 중요한 기능은 클라이언트(Client)가 요청하는 HTML 문서나 각종 리소스(Resource)를 전달하는 것입니다.웹 브라우저나 웹 크롤러가 요청하는 리소스는 컴퓨터에 저장된 정적(static)인 데이터이거나 동적인 결과가 될 수 있습니다.
웹 서버 소프트웨어의 종류
가장 많이 사용하는 웹 서버는 Apache, Nginx, Microsoft IIS
'CS' 카테고리의 다른 글
| TCP / IP 4계층에 대해 알아보기 (0) | 2022.11.23 |
|---|---|
| 운영체제 구조와 원리 (1) | 2022.09.26 |
| 2022 백엔드 로드맵 (0) | 2022.09.21 |
| 프로그램 vs 프로세스 vs 프로세서 vs 쓰레드 (0) | 2022.07.18 |
| 서버 개념 키워드 (5) #API #HTTP 패킷 #URL #URI #데이터 포멧 (0) | 2022.04.13 |